Visible Spectrophotometric Determination of Furosemide in Dosage Forms Following its Hydrolysis and Diazo Coupling with Chromotropic Acid
DOI:
https://doi.org/10.4314/njpr.v19i1.4Từ khóa:
Furosemide, Colorimetric analysis, Bromotropic acid, Diazo coupling reactionTóm tắt
Background: Several previously reported visible spectrophotometric methods for the quantification of furosemide in dosage forms are fraught with poor specificity due to background absorptivities of other chemical species in the sample matrices.
Objective: To develop a simple, sensitive and specific visible spectrophotometric method for the quantitative determination of furosemide in bulk and dosage forms.
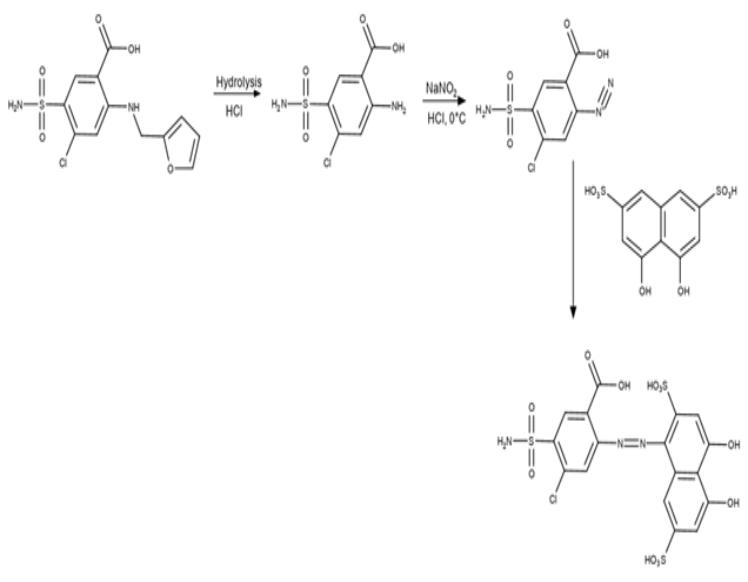
Method: The new spectrophotometric method was based on acid-hydrolysis of furosemide followed by its diazotization and coupling with chromotropic acid to generate a red adduct. Reactions variables critical to optimal response were established. Various analytical and validation parameters including repeatability, reproducibility and selectivity were also determined.
Results: The calibration graph was linear between 8.09 μg/mL to 161.8 μg/mL at 503 nm with a correlation coefficient of 0.992. The Sandell’s sensitivity of the new method was 0.14 μg.cm-2/0.001 A.U. while the limits of detection and quantification were 0.75 and 2.28 μg/mL respectively. The method was accurate and precise with recovery in the range of 102.24–109.92% and intra- and inter-day precision (%RSD) at three different concentrations less than 2.0%. When applied to the analysis of dosage form, there was no statistical difference between the newly developed and official methods. There was no interference from commonly used excipients or background absorptivities in the sample matrices.
Conclusion: In comparison with some previously reported colorimetric methods, the new method reliably quantified furosemide over a wider range of concentration and with a superior level of sensitivity. The new method can serve as a reliable alternative to the official method for analysis of furosemide.
Tài liệu tham khảo
Lượt tải xuống
Đã Xuất bản
Số
Chuyên mục
Giấy phép
Bản quyền (c) {copyrightHolder}

Tác phẩm này được cấp phép theo Giấy phép Creative Commons Ghi công-Phi thương mại-Không phái sinh 4.0 Quốc tế.